Informujemy, że w postępowaniu zakupowym dotyczącym zapytania ofertowego nr 5/2025 wybrana została oferta firmy Technolutions Sp. z o.
Dostawa kompletnego stanowiska inspekcyjno-pomiarowego
(profilometr optyczny)
Zakup jest finansowany w ramach projektu
„Lotniczy Zestaw Rakietowy PIORUN / LZR PIORUN”
przez Narodowe Centrum Badań i Rozwoju w Polsce.
Na podstawie umowy nr: DOB-BIO-12-08-008-2023
Odbiorca:
CRW Telesystem-Mesko Sp. z o.o.
Lubiczów, ul. Warszawska 51
05-082 Stare Babice, Polska
NIP: PL 524-010-38-48
Sposób wysyłania ofert:
Oferty należy przesłać pocztą e-mail na adres: aswat@telesystem.eu
Kryteria wyboru:
Warunkiem koniecznym do oceny ofert jest podanie:
– warunków finansowych (cena).
– specyfikacji – parametrów technicznych
– odniesienia się do każdego z punktów poniższej specyfikacji – parametrów technicznych
– terminu dostawy.
Oferty w których nie będą spełniały powyższych wymagań, nie będą brane pod uwagę.
W ocenie porównawczej ofert brane pod uwagę będą kryteria wraz z następującą punktacją:
– cena oferty brutto w PLN/EURO/USD – maksymalnie 40 pkt.
– zgodność ze specyfikacją – parametrami technicznymi – maksymalnie 50 pkt.
– termin dostawy – maksymalnie 10 pkt.
Liczba punktów przyznana każdej z ocenianych ofert obliczona zostanie wg poniższego wzoru.
Lp = C + S + T
gdzie:
Lp – łączna liczba punktów przyznanych ofercie,
C – liczba punktów przyznanych ofercie w oparciu o kryterium – cena oferty brutto w PLN, EURO lub USD,
S – liczba punktów przyznanych ofercie w oparciu o kryterium – zgodność ze specyfikacją-parametrami technicznymi,
T – liczba punktów przyznanych ofercie w oparciu o kryterium – termin dostawy,
Punkty będą liczone z dokładnością do dwóch miejsc po przecinku.
Zamawiający będzie oceniał oferty odpowiadające wyżej wymienionym kryteriom, przy czym oferty w danym kryterium podlegać będą ocenie w oparciu o niżej podane zasady przyznawania punktów.
Oferta może uzyskać maksymalnie 40,00 pkt. w kryterium cena oraz maksymalnie 50,00 pkt. w kryterium zgodność ze specyfikacją-parametrami technicznymi oraz 10,00 pkt. W kryterium termin dostawy.
Za najkorzystniejszą zostanie uznana oferta, która łącznie otrzyma najwyższą liczbę punktów.
W przypadku, gdy dwie lub więcej ofert otrzyma taką sama liczbę punktów, Zamawiający wezwie Wykonawców do złożenia ponownych ofert, w których wskazana cena nie może być wyższa niż cena podana w pierwotnej ofercie.
Wyniki z przeprowadzonego postępowania zostaną opublikowane na stronie Zamawiającego, na której widnieje niniejsze zapytanie.
Po dokonaniu wyboru oferty Zamawiający poinformuje Wykonawcę, którego ofertę wybrano, o terminie podpisania umowy.
W przypadku gdy Wykonawca, którego oferta została wybrana, uchyla się od zawarcia umowy, Zamawiający może wybrać ofertę najkorzystniejszą spośród pozostałych ofert.
Szczegółowy sposób oceny ofert pod kątem ceny oraz terminu dostawy znajduje się w dalszej części przedmiotowego Zapytania ofertowego nr 5/2025
Termin dostarczenia oferty:
Do 20.06.2025r. (włącznie)
Mnimalny okres ważności oferty:
4 tygodnie
Wymagana dostawa:
do 14 tygodni od złożenia zamówienia
Przedmiot:
Dostawa kompletnego stanowiska inspekcyjno-pomiarowego
(profilometr optyczny)
Specyfikacja:
Przedmiotowe urządzenie musi spełniać wymagania środowiskowe
Unii Europejskiej oraz być certyfikowane CE.
Specyfikacja – parametry techniczne:
| L.p. | Opis wymagania | Liczba punktów za kryterium |
| 1. | Zautomatyzowany ruch stolika przedmiotowego płaszczyźnie x-y w zakresie co najmniej 50mm x 50mm | 10 |
| 2. | Czas pomiaru mikrochropowatości próbek płaskich oraz zakrzywionych (R≤20mm) nie przekraczający 5 minut | 5 |
| 3. | Detektor matrycowy rejestrujący pomiary o rozdzielczości nie mniejszej niż 1000 x 1000 pix | 5 |
| 4. | Oprogramowanie i sprzęt umożliwiające pomiar złożony typu stitching | 10 |
| 5. | Pole pomiarowe(jednoczesne) 400 µm x 400 µm lub większe, dla wypolerowanej próbki o powierzchni sferycznej (wklęsłej lub wypukłej) dla promienia krzywizny R ≤ 20 mm | 20 |
| 6. | Oprogramowanie i sprzęt umożliwiające wygenerowanie wyniku pomiaru mikrochropowatości powierzchni płaskich polerowanych zgodnie z normą ISO 10110-8:2019, pkt.4.3.2 – mikro-chropowatość Rms zakresie 2Å – 40Å w przedziale częstości przestrzennych 3 μm – 500 μm | 30 |
| 7 | Oprogramowanie umożliwiające filtrację częstości przestrzennych oraz matematyczne odjecie dopasowanej sfery od wyniku pomiaru. | 20 |
Tabela 1
W celu potwierdzenia parametrów technicznych wymaga się przedstawienia broszur urządzenia lub kart katalogowych.
Wymagania serwisowe:
- Lokalizacja serwisu w Europie.
- Możliwość przeprowadzenia prostej akcji serwisowej lub wsparcia technicznego „on-line”.
- Czas reakcji na zgłoszenie o konieczności interwencji serwisowej/gwarancyjnej lub pogwarancyjnej nie dłuższy niż 48 godziny.
Wymagania organizacyjne:
- Okres gwarancyjny to minimum 2 lata od daty zakończenia procedury instalacji.
- Montaż elementów składowych stanowiska, integracje wszystkich podzespołów.
- Ustawienie i kalibracja wszystkich podzespołów.
- Uruchomienie stanowiska i testy rozruchowe.
- Próby odbiorcze pomiaru mikrochropowatości na próbce (Thorlabs #LC1259) zgodnie z ISO 10110-8:2019, pkt.4.3.2.
- Zamawiający zapewni izolację drgań umiejscowienia profilometru optycznego co najmniej na poziomie następującego produktu, dostępnego z Edmund Optics, #87-226 High Performance Vibration Isolation System
Wymagania dotyczące ceny oraz opis sposobu przyznawania punktacji:
- Cena powinna być wyrażona w PLN, EURO lub USD .
- Cena oferty wyrażona w PLN, EURO lub USD, na potrzeby rozstrzygnięcia zapytania zostanie przeliczona na złotówki wg średniego kursu ogłoszonego przez NBP z dnia opublikowania niniejszego ogłoszenia.
- Cena oprócz przedmiotowego stanowiska inspekcyjno-pomiarowego (profilometr optyczny) musi obejmować wszystkie koszty bezpośrednie i pośrednie, jakie Wykonawca uważa za niezbędne do poniesienia dla terminowego i prawidłowego wykonania przedmiotu zamówienia, zysk oraz wszystkie wymagane przepisami podatki i opłaty, a w szczególności podatek VAT zgodnie z obowiązującymi przepisami. W cenie ofertowej brutto,Wykonawca zobowiązany jest uwzględnić następujące informacje o przedmiocie zamówienia: koszt dostarczenia (transportu), instalacji oraz uruchomienia urządzenia w miejscu docelowym (CRW Telesystem-Mesko) jak również koszt szkolenia personelu Zamawiającego z obsługi i eksploatacji stanowiska inspekcyjno-pomiarowego, minimum 1 dzień.
- Punkty za kryterium cena oferty brutto zostaną obliczone wg następującego wzoru:
gdzie:

C – oznacza liczbę punktów uzyskanych w kryterium cena oferty brutto
(z dokładnością do dwóch miejsc po przecinku),
CN – oznacza cenę brutto najtańszej z ofert,
Co – oznacza cenę brutto ocenianej oferty.
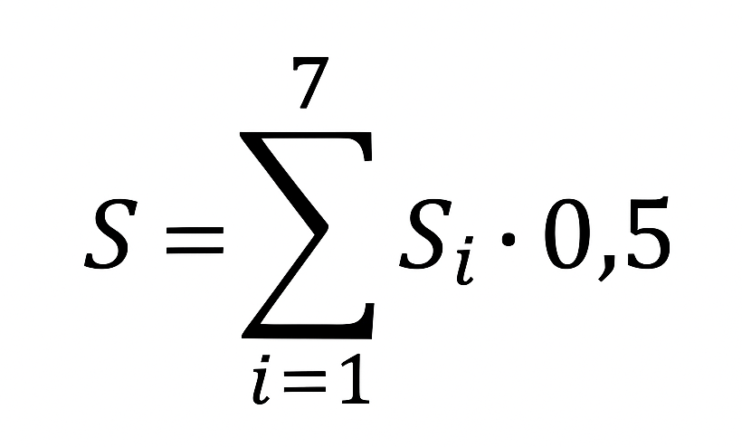
Wymagania dotyczące specyfikacji – parametrów technicznych oraz opis sposobu przyznawania punktacji:
- Liczba wszystkich warunków zapytania ofertowego wynosi 7 i została określona i opisana w Tabela 1 „Specyfikacja – parametry techniczne”
- Za każdy spełniony warunek Wykonawca otrzyma liczbę punktów jak w Tabela 1.
- Łączna liczba punktów za kryterium specyfikacja-parametrów technicznych jest sumą punktów z Tabela 1.
gdzie:

S – oznacza liczbę punktów uzyskanych w kryterium specyfikacja – parametry techniczne (z dokładnością do dwóch miejsc po przecinku),
Si – liczbę punktów przyznanych za dany parametr z tabeli.
Wymagania dotyczące terminu dostawy oraz opis sposobu przyznawania punktacji:

gdzie:
T – oznacza liczbę punktów uzyskanych w kryterium termin dostawy (z dokładnością do dwóch miejsc po przecinku),
TN – najkrótszy czas dostawy liczony w tygodniach, spośród ocenianych i nieodrzuconych ofert
TO – czas dostawy liczony w tygodniach dla ocenianej oferty
Postanowienia końcowe:
- W razie potrzeby Zamawiający zastrzega sobie prawo do wezwania Wykonawcy w celu uzupełnienia lub wyjaśnienia oferty.
- Niniejsze postępowanie ofertowe może zostać odwołane, zakończone bez dokonania wyboru Wykonawcy, a także unieważnione zarówno przed, jak i po dokonaniu wyboru najkorzystniejszej oferty, bez podania przyczyny.
- Wykonawcy uczestniczą w postępowaniu ofertowym na własne ryzyko i koszt, nie przysługuje im żadne roszczenie z tytułu odstąpienia przez Zamawiającego od postępowania ofertowego.
- Wybrany Wykonawca przekaże Zamawiającemu podpisane oświadczenie
o braku powiązań osobowych lub kapitałowych pomiędzy Wykonawcą a Zamawiającym.

COPYRIGHT © BY TELESYSTEM MESKO SP. Z O.O.
————————- koniec zapytania ————————-